- Registriert
- 22. Juni 2018
- Reaktionspunkte
- 170
Ich trenne mich von meinem Altitude:
https://bikemarkt.mtb-news.de/article/1760129-rocky-mountain-altitude
https://bikemarkt.mtb-news.de/article/1760129-rocky-mountain-altitude
Folge dem Video um zu sehen, wie unsere Website als Web-App auf dem Startbildschirm installiert werden kann.
Anmerkung: Diese Funktion ist in einigen Browsern möglicherweise nicht verfügbar.

Ja. Ich würde ggf.einfach nur LRS und Gabel tauschen...170 mm und 29 geht laut Hersteller nicht bzw nicht zugelassen.
160mm und 29 geht laut Hersteller.
Hatte denen genau diese Frage mal gestellt.
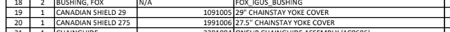
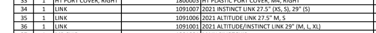
Das sagt jetzt was aus?Link und Canadian Shield sind laut Parts List unterschiedlich:
Anhang anzeigen 2222779
Anhang anzeigen 2222780
Das man die wohl tauschen muss, wenn man mit 29" anstatt den ausgelieferten 27,5" fahren möchte. Das Steuerrohr beim 29er ist auch 15mm kürzer...Das sagt jetzt was aus?
Ja, hat Rocky mit jetzt auch so bestätigtAh, du willst komplett auf 29 umrüsten.
Na dann musst du auch ne anderen Hinterbau haben. Der ist auch nicht identisch.
Dir Aussage von Rocky betraf nur das Vorderrad von 27,5 auf 29
Machst du es so? Ich habs bisher nicht gemacht, weil ich dachte 160mm vorne ist mir zu wenig. Aber eigentlich reicht das vollkommen aus und ich bin mit dem Rocky zufriedener als mit meinem Yeti SB160.Ja, hat Rocky mit jetzt auch so bestätigt![]()
Ne, vermutlich nicht. Der Aufwand ist mir zu groß. Ich fahre ja, wie gesagt, ein 2019er Altitude, welches mir von der Geo etwas zu kurz ist. Daher suche ich ein anderes Alu-Bike. Da ich das 19er eigentlich auch schon mag, kann das 21er ja nur besser seinMachst du es so?
