Privateer Bikes Enduro

Naja, man sieht das dein Sattel ganz hinten ist und du auch noch über einen 60er Vorbau überlegst!
Das machst du ja nur, weil dir das Rad zu "kompakt" im Sitzen ist, obwohl es ja eigentlich ein Schiff (Radstand/ Reach) ist...

Naja, wenn du Arme hast wie ein Affe, dann bring dir ein langer Radstand und Reach auch nicht, dann musst schauen dass du vom Oberkörper her "länger" kommst, daher Sattel nach hinten und etwas längerer Vorbau. Das ist das was ich gemeint habe mit, dass jeder anders ist von den "Proportionen und Körperbau" her und dass es ne Sache des Aufbau´s und der Einstellung ist, zumindest in nem gewissen Grad. Jeder erwartet was anderes von dem Bike, und jeder fährt was anderes mit dem Bike. Ich habe noch ein Mondraker Foxy R Carbon mit dem ich auf der Ebene super zufrieden bin, sobald es aber an den Berg geht ist es nur am Steigen vorne. Habe ne große Schrittlänge und komme durch den relativ flachen Sitzwinkel recht weit nach hinten. Macht am Berg nicht wirklich Spass. Das 161 jetzt ist Berg hoch ein Traum, kein Steigen, schön Druck auf dem Vorderrad, perfekt. Und wenn ich durch die nach hinten verlagerte Sattelposition und nen etwas längeren Vorbau die Hände auf der Ebene entlastet bekomme, dann ist´s mir doch Latte ob ich 80° SW hab und den Sattel vorne klemme, oder 78° grad hab und den Sattel dann mittig klemme. Für mich ist wichtig dass das Endergebnis funktioniert, und wie ich an diesen Punkt komme ist mir weitestgehend egal, hauptsache ich komme an den Punkt. Wo wir wieder bei der oben erwähnten Sache mit dem Aufbau und der Einstellung sind.
*Meine Meinung ;)
 
Und hier mein P4-Raw-Aufbau, die Teileliste ist exakt wie ein paar Seiten vorher beschrieben.
Bin nun gespannt wie's morgen fährt, anfühlen tut sich's bombe!

Privateer 161 Aufbau-2.jpg
 
Enduro bedeutet natürlich rauf und runter. Aber die wenigsten werden wohl im Uphill die meise Zeit über 8% Steigung fahren. Ich kenne die EWS-Strecken nicht, aber bei den hiesigen Rennen werden im Uphill ja schon viel Forstwege und teils flache Zubringer gefahren. Ich fahre aber auch lieber kurz und steil hoch, als lang und flach.

Ich denke auch, dass die Sitzposition im Privateer für einige gut passen wird, man braucht halt die passenden Proportionen. Für mich scheidet das Rad leider aus, ich mag es nicht so gerne von zu weit vorne in die Pedale zu treten und zu viel Gewicht auf Armen und Schultern zu haben. Und vor allem, weil ich das Bike nicht testen kann.

Was ich irgendwie noch nie verstanden habe ist, warum sich manche so schwer tun mit steilen Rampen und steigendem Vorderrad. Wenn es über 20% geht, geht man halt weiter nach vorne. Der limtierende Faktor ist hierbei nicht die Geometrie des Rades und der Oberkörper, sondern die Muskeln in den Beinen.

Trotzdem: Sehr, sehr schönes Bike!
 
Hey Leute,
hat jemand hier ein Komplettrad schwarz p2 bestellt?
Laut Homepage soll es pünktlich kommen. Jetzt wurde aber vor ein paar Tagen das Lieferdatum von Mai Woche 2 auf September gesetzt?
Weiß da jemand was?
 
Und die dritte Runde ist geschafft.

Als Orientierung für die eventuell Unsicheren.

Die Hausrunde besteht aus:
  • 9 km flache Anfahrt auf Teer / Forstweg
  • 250 hm Uphill auf Trail. Steil, zum Teil wurzelig.
  • 250 hm DH steil, zum Teil sehr steil aber wenig rumpelig.
  • 250 hm Uphill auf Teer und Forstweg, schön steil
  • 250 hm DH flowig, viele Kurven, dann rumpelig und schnell
  • 250 hm Uphill moderat steil auf Forstweg.
  • 250 hm DH schnell und bockig mit kleineren Sprüngen und 2 größeren Drops.
  • 9 km flache Rückfahrt auf Teer / Forstweg nach Hause.
In Summe ca. 800 hm und 32 km.

Der Spaß dauert wenn ich bergauf an der Schwelle fahre ca. 2h, sonst 2:20. Und auch die moderat steilen Anstiege sind sehr gut zu treten (4. Gang GX 12-fach Kassette und 32er Blatt, ergibt grad ne Übersetzung von 1:1). Auch hier wirkt sich der steile Sitzwinkel positiv aus.

Das Bike habe ich aber vor allem für Regionen wie Latsch, Reschenpass, Davos, Lenzerheide ... gekauft. Da fahre ich üblicherweise eine gute Mischung aus selber treten und shutteln.

Aber auch auf der Hausrunde macht das Radl eine Top Figur. Auf der flachen Anfahrt habe ich mich schon an den steilen Sitzwinkel und die etwas erhöhte Last auf den Händen gewöhnt, da gabs heute keine Probleme mehr (hab den Sattel auch etwas nach hinten geschoben). Bergab ist die Kiste top. Schnell, stabil und gutmütig. Ich bin nach wie vor begeistert.

Klar sollte aber sein, dass eine 50 km Runde im moderaten Gelände nicht unbedingt das richtige Einsatzgebiet ist. Bspw. könnte ich konditionell den verlängerten Epic Trail in Davos mit der Karre schon fahren. Da gibts aber sicher geeignetere Räder als ein flaches, langes 160 mm Race Enduro 8-) . Hier wäre das neue YT ein heißer Kandidat.
 
Privateer first ride.jpg


So sah die Karre vor der ersten Fahrt heute aus. Tut sie nun nicht mehr ;-)

Im Stand wirkt das Rad schon ziemlich massiv, vor allem die Länge beeindruckt. Auf den Bildern täuscht es tatsächlich, denn die Proportionen sind offensichtlich so stimmig, dass man es kleiner wahrnimmt als es von den Abmessungen her ist.

Ich schliesse mich vollumfänglich den Vorschreibern hier an, das Rad kam mir sofort sehr vertraut an, obwohl ich von 27.5" und einem deutlich kürzeren Radstand bei ähnlichen Lenkwinkel komme. Alles an dem Rad ist lang und groß genug um mich mit meinen 1,97m sehr gut unterzubringen. Wie viele hier hatte ich vor allem ob des Sitzwinkels Bedenken und nach einer ersten Runde auf dem gut bekannten Hometrail steht fest: Die Vorteile scheinen für meinen Eiunsatzzweck zu überwiegen. Ich war wirklich überrascht, trotz der positiven Berichte hier, wie kraftsparend sich der Sitzwinkel auf das hochpedalieren auswirkt. Die Mehrlast auf den Händen habe ich bemerkt, mehr nicht. (Okay, bei der Euphorie über das neue Gefährt pedaliert es sich wahrscheinlich eh leichter.)

Das Rad ist wirklich immer berechenbar, hält sehr gut die gewählte Linie und ist bergab mit einer selbstverständlichkeit schnell, dass mich es gewundert hat. Der Support in Kurven und Anliegern ist beeindruckend. Ich wollte eigentlich sehr piano machen um die Fuhre kennen zu lernen, bin aber ohne nachzudenken an meinen Kumpels drangeblieben.

Trotz des langen Radstandes ist es erstaunlich wendig, klar nicht verspielt, aber ich hätte mit mehr Anpassungsschwierigkeiten dahingehend gerechnet. Auf gar keinen Fall fühlt es sich wie ein Truck an, der um die Kurven schiebt, satt und präzise treffen es für mich ganz gut.

Noch nicht im Griff habe ich den langen Hinterbau, wie vorher auch schon erwähnt muss ich mich noch daran gewöhnen, dass das HR erst viel später als gewohnt an Kanten von Kickern und Drops ankommt. Das timing hierfür muss ich genauso noch finden wie den Sweetspot im Manual, da sahen meine Versuche heute kläglich aus. Aber ich habe keine Zweifel, dass das bald kein Thema mehr ist.

Ich bin sehr glücklich mit dem Rad, schon jetzt, ich habe keine Zweifel, dass das die beste Entscheidung des letzten Jahres war. Das Warten hat sich gelohnt. Lange hatte ich mit dem RAAW Madonna V2 geliebäugelt...kein Gedanke mehr daran.

Gude und Glückwunsch an alle, die sich für das Privateer entschieden haben. Ich bin gerne Mitglied in einer noch zu gründenden Privateer Appreciation Society.
 
Damit könnte man ja auch mal die MegNeg-Kammer ausprobieren. Die ist ja etwas progressiver als die Standard-Luftkammer. Und mit den verbauten zwei Spacern hätte man noch etwas Spielraum.
Macht die MegNeg am Privateer Sinn? Ich dachte, dass sie vor allem für lineare Übersetzungsverhältnisse eine Verbesserung bringen sollte. Das Privateer hat einen ziemlich progressiven Kurvenverlauf, oder liege ich hier falsch?
 
Macht die MegNeg am Privateer Sinn? Ich dachte, dass sie vor allem für lineare Übersetzungsverhältnisse eine Verbesserung bringen sollte. Das Privateer hat einen ziemlich progressiven Kurvenverlauf, oder liege ich hier falsch?
Das ist prinzipiell erstmal richtig. Wenn allerdings die Realität zeigt, dass trotz der progressiven Kennlinie und gewünschtem Sag häufiger Durchschläge auftreten, dann wäre es sicher eine Option mal die MegNeg zu testen. Ist ja doch auch immer noch etwas subjektives dabei, bei dieser Einschätzung.
 
Macht die MegNeg am Privateer Sinn? Ich dachte, dass sie vor allem für lineare Übersetzungsverhältnisse eine Verbesserung bringen sollte. Das Privateer hat einen ziemlich progressiven Kurvenverlauf, oder liege ich hier falsch?

Ja, das stimmt. Ich meine aber gelesen zu haben, dass RS empfielt ein oder zwei Spacer aus der Positvkammer zu entfernen um mit der MegNeg eine ähnliche Progression zu erhalten. Genau diesen Speilraum gäbe es ja beim Privateer. Ich habe den Hinterbau nicht als zu progressiv empfunden, da hatte ich schon ganz andere Bikes. Wäre vielleicht einen Versuch wert.
 
...Ich habe den Hinterbau nicht als zu progressiv empfunden, da hatte ich schon ganz andere Bikes. Wäre vielleicht einen Versuch wert.

Yep, das geht mir auch so, trotz der deutlichen Kurve kommt mir der Hinterbau auch nicht zu progressiv vor. Er arbeitet schon sehr feinfühlig mit dem Dämpfer, aber etwas mehr Support im mittleren Bereich könnte es sein. Wenn ich mit ca 25% Sag fahre, ist er schnell ganz durch den kompletten Federweg durch, hohe Drops oder Spünge bin ich noch nicht angegangen, daher weiss ich nicht wieviel Progression ihn noch vor'm Durchschlag rettet. Viel Restweg zeigt der Gummiring nicht mehr an.

Von daher bin ich der MegNeg Sache nicht abgeneigt ;-)...werde aber vwarten bis das Debon-Air Upgrade für die Lyrik verfügbar ist und beides auf einmal umbauen.

Wenn jemand vorher schon Erfahrungen sammelt: Nur her damit.
 
Yep, das geht mir auch so, trotz der deutlichen Kurve kommt mir der Hinterbau auch nicht zu progressiv vor. Er arbeitet schon sehr feinfühlig mit dem Dämpfer, aber etwas mehr Support im mittleren Bereich könnte es sein. Wenn ich mit ca 25% Sag fahre, ist er schnell ganz durch den kompletten Federweg durch, hohe Drops oder Spünge bin ich noch nicht angegangen, daher weiss ich nicht wieviel Progression ihn noch vor'm Durchschlag rettet. Viel Restweg zeigt der Gummiring nicht mehr an.

Von daher bin ich der MegNeg Sache nicht abgeneigt ;-)...werde aber vwarten bis das Debon-Air Upgrade für die Lyrik verfügbar ist und beides auf einmal umbauen.

Wenn jemand vorher schon Erfahrungen sammelt: Nur her damit.


Das Debon Air 2 gibts schon.
 
Macht die MegNeg am Privateer Sinn? Ich dachte, dass sie vor allem für lineare Übersetzungsverhältnisse eine Verbesserung bringen sollte. Das Privateer hat einen ziemlich progressiven Kurvenverlauf, oder liege ich hier falsch?

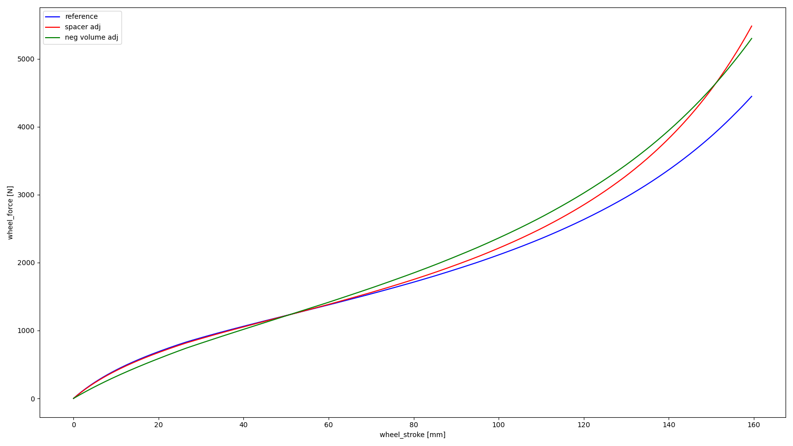
Habe ich mich auch gefragt und das ganz mal durchgerechnet und geplottet. Aus den Plots lese ich, dass man mit dem MegNeg upgrade die Progression etwas vermindert im Vergleich zum Erreichen der benötigten End-Kraft durch Spacer. Was meint ihr?

Im letzten Plot hab ich auch die Kennlinie des Privateers einbezogen.
 

Anhänge

  • Varying_neg_volumes.png
    Varying_neg_volumes.png
    78,8 KB · Aufrufe: 102
  • Varying_spacers.png
    Varying_spacers.png
    70,2 KB · Aufrufe: 78
  • spacer_vs_neg_volume.png
    spacer_vs_neg_volume.png
    73,4 KB · Aufrufe: 75
  • shock_curve.png
    shock_curve.png
    62 KB · Aufrufe: 88
  • wheel_curve.png
    wheel_curve.png
    61,2 KB · Aufrufe: 93
Ich hab jetzt mal einen Volumereducer dazu reingepackt. Jetzt sind es ingesamt 3 was lt. RockShox auch das Maximum ist . Ich bin zuvor bei etwa 25% SAG tief in den Federweg rein und hab auch 1-2 mal durchgeschlagen auf meinen Hometrails die eher gemütlich sind.

Hat da eig. wer ne Empfehlung von Privateer selbst was die an SAG vorschlagen ?

Ich muss jetzt mal ausgiebig testen auf "richtigen" Strecken wo die Kiste hingehört bevor ich da weiter dran rumdrehe :)

@Chillt magst du mir die Legende erklräen 160% neg volume @114% Pressure ? das Check ich iwie nicht:)

@stereofreund @DEK war bei BC schon verfügbar dann haben sie es wieder runtergenommen anscheinend hat was bei der Verpackung bzw. dem Inhalt nicht gepasst. ( das Set ohne Airshaft)
 
@Chillt magst du mir die Legende erklräen 160% neg volume @114% Pressure ? das Check ich iwie nicht

Klar, das ist bezogen auf den Dämpfer mit Standard negativ Luftkammer und einem gesetzten Druck. 160% neg volume @114% Pressure bedeutet damit, dass die negativ-Luftkammer um 60% größer ist (MegNeg mit 2? Ringen) und der Druck um 14% erhöht werden muss, um gleich im Sag zu sitzen (mal angenommen auf 20mm einfederweg)
 
Klar, das ist bezogen auf den Dämpfer mit Standard negativ Luftkammer und einem gesetzten Druck. 160% neg volume @114% Pressure bedeutet damit, dass die negativ-Luftkammer um 60% größer ist (MegNeg mit 2? Ringen) und der Druck um 14% erhöht werden muss, um gleich im Sag zu sitzen (mal angenommen auf 20mm einfederweg)

Prima, das klärt schon mal einiges. Tatsächlich wird der Verlauf durch die MegNeg etwas linearer als mit dem dritten Spacer. Tolle Arbeit, Danke!

@Basti2212 - Dein Bericht würde mich interessieren, lag bei Dir ein dritter Spacer eigentl. im Paket?
Und ja, das ist mir bei BC auch aufgefallen, war erst da und dann auf einmal, während ich das Ding im Warenkorb hatte, wieder weg...lustig.

Ich bin mit dem Ansprechverhalten des Hinterbaus glücklich, das wollte ich nicht durch mehr Druck oder zu früh einsetzender Progression mindern wollen.
 
Zuletzt bearbeitet:
Zurück